2016

1-10

1

2

3

4

 

 

5

6

7

8

9

10

 

11-20

11

12

13

14

15

16

17

18

19

20

 

21-24

21

22

23

24

 

25-28

25

26

27

28

 

 

29-30

29

30

 

31-32

31

32

 

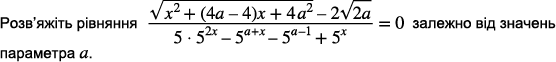
33 (з параметрами)

33